Close
Получить консультацию
О компании
Главная / О компании
Наша миссия и ценности
Мы производим кованые заготовки высокого класса с термической и механической обработками, предназначенные для различных секторов промышленности, сочетая вековые традиции кузнечного мастерства с передовыми технологическими решениями. Наша продукция — это эталон качества, надежности и инженерного превосходства, способствующие укреплению промышленной независимости России и повышению ее конкурентоспособности. Мы ценим нашу работу и осознаем ее вклад в благосостояние страны и ее населения.
Наша сила заключается в согласованной работе профессионалов, где все участники содействуют достижению общей цели.
Единство команды
Наша деятельность направлена на процветание России, посредством поддержки и расширения внутреннего производства, а также усиления ее индустриального потенциала.
04
Патриотизм и гордость
03
Качество и надежность
02
Каждый наш продукт — это сочетание профессионализма, инновационные технологии и тщательный контроль качества, что обеспечивает соответствие продукции заявленным характеристикам и нормативным требованиям
Традиции и инновации
Опыт и знания, накопленные поколениями, бережно хранятся и передаются нами, обогащаясь передовыми технологиями для создания лучших решений
01
Управление качеством
Главная цель: долгосрочный коммерческий успех предприятия, который обеспечит справедливое удовлетворение всех заинтересованных сторон: работников, потребителей, поставщиков и «Общества».

Политика АО «КМЗ «Ижора-Металл» в области качества

Политика АО «КМЗ «Ижора-Металл» в области культуры безопасности

Лицензии, сертификаты, свидетельства, аккредитации
Действующая на предприятии сертифицированная Система менеджмента качества (СМК), является основой для обеспечения качества и конкурентоспособности выпускаемой продукции
Бережливое производство
2023 год
— старт национального проекта «Производительность труда» по внедрению Бережливого производства на нашем предприятии при поддержке Федерального центра компетенций
— обучение внутренних тренеров
— анализ процесса производства поковок кольцевой группы
— сокращение временных затрат на межоперационное перемещение изделий в 4 раза
— оптимизация рабочих мест на первом участке, выявление потерь рабочего времени, внедрение карты чистоты, внедрение системы 5S, обучение сотрудников внутренними тренерами
— анализ улучшений
2024 год
— транслирование изменений по всем участкам
— внедрение системы подачи предложений по улучшениям (за год получено 50 предложений, треть из которых успешно внедрена)
2025 год
– автоматизация производственных процессов
Охрана труда и промышленная безопасность
Публичная информация

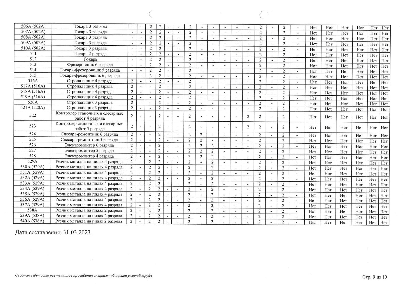
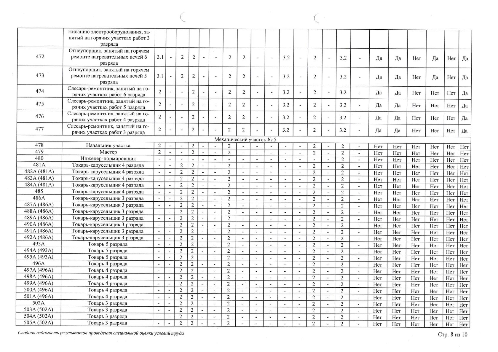
Сводная СОУТ за 2022

Сводная СОУТ за 2023

Сводная СОУТ за 2024

Политика АО «КМЗ «Ижора-Металл» в области охраны труда, промышленной и пожарной безопасности